ФИЗИЧЕСКАЯ КУЛЬТУРА И СПОРТ ДЛЯ ВСЕХ


Abstract

PHYSICAL ACTIVITY AND AGE CHANGES OF FACTORIAL STRUCTURE OF SERVICEABILITY

E.A. Shirkovets, Dr. Hab., professor

A.Yu. Titlov, Ph. D., lecturer

Key words: structure of serviceability, factorial analysis, age changes.

The basic purpose of the research of the structure of physical serviceability is the detection of the latent connections between the measured parameters at testing examinees and the description of them by smaller number of the generalized factors. The regrouping of the similar attributes and association in the separate components allows to use them as the integrated criteria of the serviceability. The application of the adequate methods of the multivariate statistics by the search of optimum structure of serviceability enables to solve the following tasks: to systematize the attributes adequately reflecting the condition of functional systems of an organism; to separate the invariant attributes from the interdependent; to determine information criteria of the serviceability in the researched kind of activity; to reveal the logic structure of the complete process of the competitive and training activity.


ФИЗИЧЕСКАЯ АКТИВНОСТЬ И ВОЗРАСТНАЯ ДИНАМИКА ФАКТОРНОЙ СТРУКТУРЫ РАБОТОСПОСОБНОСТИ

Доктор педагогических наук, профессор Е.А. Ширковец
Кандидат педагогических наук, доцент А.Ю. Титлов

Ключевые слова: структура работоспособности, факторный анализ, возрастная динамика.

Преобразование больших информационных массивов в компактную форму позволяет по-новому представить динамику обобщенных показателей в препубертатном и пубертатном периодах. Первичные результаты тестирования дают лишь косвенную информацию об анализируемом процессе. Большинство получаемых параметров в той или иной степени взаимозависимы и взаимообусловлены, что приводит к их информационному дублированию.

Основная цель исследования структуры физической работоспособности - обнаружение скрытых связей между измеренными параметрами при тестировании испытуемых и описание их меньшим числом обобщенных факторов. Перегруппировка сходных признаков и объединение в отдельные компоненты позволяет использовать их в качестве интегральных критериев работоспособности. Применение адекватных методов многомерной статистики при поиске оптимальной структуры работоспособности дает возможность решать следующие задачи: систематизировать признаки, адекватно отражающие состояние функциональных систем организма; отделять инвариантные признаки от взаимозависимых; определять информативность критериев работоспособности в исследуемом виде деятельности; выявлять логическую структуру целостного процесса соревновательной и тренировочной деятельности.

В педагогической практике для оценки физических качеств применяются десятки тестов, одновременно оценить взаимодействие и динамику такого числа переменных невозможно. Отсюда вытекает необходимость свести многообразие измеряемых показателей к существен но меньшему числу факторов, отражающих главные черты изучаемого явления. На первом этапе исследований, при проведении массовых обследований, была определена батарея тестов, которые позволяют оценить различные стороны физической подготовленности испытуемых различного возраста и с разной степенью физической активности [4].

Методы. При проведении факторного анализа использовалась интегрированная система для комплексного статистического анализа и обработки данных в среде "Windows" - "Statistica" [1, 6]. Исследованию подвергались массивы данных вида:

X {i, j}, i = 1, ...N, j = 1... n,

где N - номер объекта исследования, а n - номер теста. Перед проведением факторного анализа изучаемые показатели задавались в стандартном виде, то есть нормировались и центрировались:

z (i, j) = {X(i,j) - M(j)}/ D(j),

где z - нормированные значения, M(j) - выборочное среднее, D(j) - выборочная дисперсия. Далее решалась задача выявления небольшого числа скрытых факторов, отражающих наиболее значимые качества испытуемых.

В процессе работы выполнен анализ эффективности вариантов выделения факторов, которые включали: а) метод общности (анализ квадратов коэффициентов множественной корреляции), б) метод итеративных общностей (анализ минимальных остатков), в) метод максимального правдоподобия, г) центроидный метод, д) метод главных осей. Перечисленные методы отличаются выбором критерия оптимальности. При анализе главных компонент используется принцип минимизации расхождения между ковариационной матрицей исходных данных и результирующей матрицей после оценки факторных нагрузок. Для остальных методов (с анализом главных факторов) критерий оптимальности - максимизация близости исходной корреляционной матрицы к той, которая получается после оценки факторных нагрузок. Для представленной здесь серии исследований использовался метод главных компонент , при котором наилучшим образом идентифицировались выявляемые факторы. Для этой же цели из многих вариантов поворота осей (вращение факторов) был выбран метод "варимакс нормализованный" .

Сравнение результатов выделения факторов

МЕТОД

I ФАКТОР

II ФАКТОР

III ФАКТОР

(% общей дисперсии)

Максимальные факторные нагрузки тестов

Главных компонент

3-0,91
4-0,92
8-0,74


1-0,88
2-0,94


7-0,77 
10-0,78



71 2

Центроидный

9-0,75
10-0,75

1-0,72
2-0,99

3-0,88
4-0,91


61,2

Общности

3-0,75
4-0,81
 8-0 82


1-0,81
2-0,80


-



50 1

Итеративных общностей

4-0,77
 8-0.85

1-0,91
2-0,81


-


49.1

Максимальных правдоподобий

3-0,73
4-0,79
8-0,87


1-0,91
2-0,81


-



49 2

Главных осей

3-0,68
4-0,77
8-0,85


1-0,84
2-0,81


-



49,9

Тесты 1 - длина тела, 2 - масса, 3 - результат в беге на 20 м, 4 - результат в беге на 30 м, 5 -результат в беге на 300 м, 6 - результат в беге на 1000 м, 7 - подтягивание в висе, 8 - прыжок в длину с места, 9 - 8-кратный прыжок в длину с места, 10 - приседание на одной ноге, сумма приседаний на правой и левой

Результаты. В таблице сравниваются результаты факторного анализа, выполненного последовательно на одном массиве экспериментальных данных с применением перечисленных методов. Одним из наиболее важных моментов анализа является выбор метода вращения осей, поскольку определение оптимального угла поворота осей системы координат обеспечивает приемлемую интерпретацию выделенных факторов. Для всех шести вариантов вращение осей производилось нормализованным методом варимакс, который по сравнению с методами квартимакс, биквартимакс и эквимакс давал лучшие результаты. По наибольшим факторным нагрузкам они интерпретируются следующим образом: 1) качество быстроты, 2) тотальные размеры тела, 3) силовые возможности. Центроидный метод также выявил три значимых фактора, но с другим набором переменных. Применение методов итеративных общностей, максимального правдоподобия и главных осей приводило к выявлению двух достоверно выраженных факторов, но с меньшей долей общей дисперсии. Анализ показал, что наиболее подходящим для многомерной обработки данных явился метод главных компонент, который и был использован для всей серии выполненных работ.

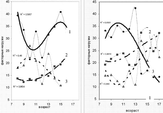
Последовательный анализ за каждый год результатов факторных анализов для групп испытуемых с 8 до 17 лет дал возможность обобщить динамику относительной значимости выделенных факторов по доле их вклада в общую дисперсию переменных. Тренд данных параметров, то есть общую направленность изменений анализируемых факторов, показывают графики рис. 1 и 2.

В контрольной группе отмечается разнонаправленная динамика вклада в общую дисперсию. Во всех возрастных группах наибольший вклад - у фактора быстроты. Этот показатель претерпевает большие изменения во всем рассматриваемом диапазоне. Его доля снижается с 40% в младшем возрасте до 20-25% к 10-летнему возрасту, а затем постепенно возрастает до 35% к 15 годам. За этот же период доля дисперсии силового фактора увеличивается с 13 до 23% в старшей возрастной группе. В целом можно отметить сходный характер изменений этих двух физических качеств, хотя величина вклада быстроты отличается большими вариациями во всем рассмотренном диапазоне, тогда как значения силового фактора плавно возрастают без резких скачков. Динамика фактора, интегрирующего показатели тотальных размеров тела, находится в противофазе с изменениями первых двух факторов. Кроме того, данный фактор резко меняет значения в возрасте от 10 до 14 лет, что можно связать с влиянием пубертатного ускорения развития в этом периоде.

У испытуемых, систематически занимавшихся спортом, иная динамика относительного вклада перечисленных факторов в общую дисперсию выборки. Здесь вклад фактора быстроты снижается с 37% в 9-летнем возрасте до 14% к 16 годам. Напротив, доля силового фактора за тот же период возрастает с 12 до 25%. В отношении качества быстроты следует отметить, что тестирование выполнялось однотипно в течение всех лет. Наблюдались синергичные изменения доли вклада в общую дисперсию факторов силы и тотальных размеров тела в возрасте от 10 до 15 лет, что закономерно для общей динамики этих двух факторов. Обобщенный характер динамики рассмотренных факторов интересно сопоставить с картиной многолетней динамики нагрузок юных конькобежцев. Если оценивать сумму циклических нагрузок в пубертатном периоде, то в целом за 6 лет получается следующее соотношение нагрузок различного воздействия: аэробных - 74,5%, смешанных аэробно-анаэробных -17,1%, гликолитических - 6,0%, креатинфосфатных - 2,5%.

Рис. 1 и 2. Возрастная динамика факторных нагрузок физических качеств (быстроты - 1 и силы - 2), а также тотальных размеров тела (3) у испытуемых контрольной группы (рис. слева) и экспериментальной группы (рис. справа)

В рассматриваемом возрастном диапазоне меняется как суммарная величина нагрузок, так и их соотношение. На следующих графиках представлены кумулятивные кривые тренировочных нагрузок различной физиологической направленности в возрасте от 13 до 18 лет. Как было описано ранее [5], принимая конечную сумму каждого вида нагрузок за 100% и отсчитывая от нее долю работы за каждый год исследований, получаем семейство кривых на графиках рис. 3. В данной многолетней динамике выявляется характер и соотношение нагрузок разной интенсивности. Нагрузки аэробной направленности аппроксимируются линейным уравнением, что свидетельствует о равномерных годичных приростах подобных нагрузок.

Для всех видов интенсивных нагрузок наиболее подходящей формулой для описания многолетней динамики являются степенные уравнения, в которых показатель степени характеризует скорость прироста функции. Эти уравнения описывают с очень высокой точностью эмпирические данные величин циклических нагрузок, выполняемых за год. Сравнение приведенных на графике уравнений показывает, как по мере взросления испытуемых интенсивность тренировочного процесса прогрессивно увеличивается. Эти количественные соотношения адекватно отражают принципы планирования многолетнего процесса подготовки юных спортсменов.

Обсуждение . При использовании факторного анализа необходимо рассмотреть ряд вопросов, связанных с организацией такого рода работ [2, 3]. Нельзя применять факторный анализ к любой корреляционной матрице, получаемой в процессе экспериментальной работы, или при обследовании массива испытуемых. Типичная ошибка такого рода - подбор исходной серии тестов, которые наиболее доступны для реализации в заданных условиях. Выбор тестов должен определяться конкретным содержанием проблемы, а используемые тесты соответствовать решаемой проблеме. При этом необходимо, чтобы число тестов по крайней мере в три раза превышало число возможных факторов. В этом случае можно предполагать, что результаты статистической обработки обоснованы исходной экспериментальной работой. При организации эксперимента с использованием факторного анализа основополагающее значение имеет подбор изучаемой группы, а численность выборки должна быть репрезентативна (представительна) по отношению к генеральной совокупности. Это будет служить основанием для выводов о генеральной совокупности на основе результатов, полученных при анализе отдельных выборок, и только в этом случае есть основания говорить о выявлении закономерностей в исследуемой области.

В результате проведенных расчетов была получена система нагрузок трех ортогональных факторов, которые характеризуют десять исходных переменных [4]. Следующий этап работы был связан с корректной интерпретацией результатов. Основная задача данного этапа заключалась в определении природы полученных факторов, придании им смыслового содержания. Выявление общих черт в тестах, имеющих высокие нагрузки по каждому из факторов, позволяет характеризовать выделенные факторы. Для этого комплексно оценивается содержание исходных тестов, а затем анализируется каждый фактор в соответствии с наполняющими его наиболее значимыми переменными. На этом этапе происходит перенос центра тяжести с математико-статистических процедур на наполнение полученных результатов педагогическим содержанием.

Рис. 3. Кумулятивные кривые тренировочных нагрузок разной направленности (в процентах от конечного итога): 1 - нагрузки аэробного воздействия, 2 - смешанного аэробно-анаэробного воздействия, 3 - анаэробно-гликолитические, 4 - креатинфосфатные нагрузки

Природа выявленных факторов основывается на оценке характера переменных. Очевидно, что такие переменные, как бег на 20 и 30 м, характеризуют качество быстроты в циклических локомоциях. Конечный результат в данных испытаниях зависит в наибольшей степени от двух составляющих: константы ускорения и скорости на дистанции, причем эти составляющие не коррелируют между собой. С биоэнергетической точки зрения результаты в спринтерском беге зависят от производительности креатинфосфатного механизма. Другие испытания, которые тоже характеризуют качество быстроты - прыжки с места и 8-кратные, - включают также силовой компонент. В связи с этим вклад прыжковых упражнений в каждый из выделенных факторов должен оцениваться в комплексе с факторными весами других переменных, которые наполняют оцениваемый фактор. Таким образом, в одних случаях эти переменные в большей мере могут оценивать качество быстроты, в других - фактор силовых возможностей. Если сюда добавляются такие переменные, как подтягивание в висе или испытания в максимальном количестве приседаний на одной ноге, то здесь оценивается структура силового фактора. Она может различаться не только по относительной значимости вклада верхних или нижних конечностей, но также по степени проявления динамического и статического компонентов в обобщенном силовом факторе.

При оценке роли бега на средние и длинные дистанции в структуре физической работоспособности все большее значение приобретают такие компоненты энергообеспечения, как анаэробный и аэробный гликолиз, определяющие специфику качества выносливости в том или ином временном диапазоне упражнений. Естественно, что соединение этих переменных с силовыми или спринтерскими тестами определяет мозаику структуры физической работоспособности, на которую оказывают влияние индивидуальность испытуемых, биологические закономерности развития в пубертатном периоде, характер выполняемой тренировочной деятельности.

Еще один регулярно выделяемый фактор связан с морфологическими характеристиками испытуемых, из которых в данном исследовании анализируются тотальные размеры тела. Следует отметить, что переменные, входящие в этот фактор, по-разному влияют на достижения в разных испытаниях. Например, масса тела может отрицательно соотноситься с результатами подтягиваний в висе, но положительно - с бегом на короткие дистанции. Возможные варианты взаимовлияний при тестовых испытаниях физической работоспособности адекватно объясняются при факторном анализе. Сравнение приведенных рядов динамики факторных нагрузок показывает, что повышение величины тренировочных нагрузок при многолетних занятиях в спортивных секциях приводит не только к приросту достижений при выполнении отдельных тестов, но также к качественным изменениям факторной структуры физической работоспособности. Сложный характер взаимосвязей параметров, отражающих структуру работоспособности при разном уровне физических нагрузок, приводит к необходимости использования математической процедуры факторного анализа. Такой метод применялся для обработки массивов экспериментальных данных, первоначально имевших разрозненную и сложную конфигурацию.

В результате обработки результатов тестирования 1141 испытуемому разного возраста во всех группах было выделено три основных фактора, имевших наибольшую долю вклада в общую дисперсию. Нагрузка исследованных показателей для каждого фактора оказалась разной в группах испытуемых с различным уровнем физической активности. Это показывает, что факторная структура специальной работоспособности специфична и определяется уровнем функциональных возможностей. Сопоставление результатов факторного анализа, выполненного для разных групп испытуемых, показало, что структура специальной работоспособности трансформируется по мере адаптации к физическим нагрузкам. Характер этих изменений обусловлен развитием физических качеств, он соответствует индивидуальным возможностям в детско-юношеском возрастном периоде.

Заключение . Одна из важных проблем в оценке факторной структуры физической работоспособности - выбор подходящего метода определения факторов. В исследованиях в области физической культуры и спорта многие годы наиболее часто использовался центроидный метод. Он имел широкую область применения, особенно там, где речь шла о первых выводах в отношении структуры физических качеств человека. Считалось, что другие, более трудоемкие методы факторного анализа пригодны для тех областей, где структура факторов в общих чертах известна, а необходимо уточнить тонкие трансформации факторов под влиянием выполненных физических нагрузок. Современные возможности обработки экспериментальных данных расширяют область применения многомерных статистических методов. Существенное изменение ситуации происходит при интерпретации полученных факторных нагрузок, когда выявляется природа выделенных групп показателей, объединяемых в категорию факторов.


 Home На главную   Library В библиотеку   Forum Обсудить в форуме  up

При любом использовании данного материала ссылка на журнал обязательна!